مبرهنة فيثاغورس
مبرهنة فيثاغورس هي مبرهنة في الهندسة الإقليدية، تقول أنه في أي مثلث قائم الزاوية يكون مجموع مربعي طولي الضلعين المحاذيين للزاوية القائمة يساوي مربع طول الوتر. سميت هذه المبرهنة على العالم فيثاغورس الذي كان رياضيا، و فيلسوفا، و عالم فلك في اليونان القديمة.
المبرهنة
مبرهنة فيثاغورس المباشرة
وهي الشكل الأكثر شهرة لمبرهنة فيثاغورس:
« في مثلث قائم الزاوية، مربع طول الوتر يساوي مجموع مربعي طولي الضلعين المحاذيين للزاوية القائمة. »
في مثلث ABC قائم الزاوية في C، أي أن [AB] هو الوتر، نضع AB=c و AC=b و BC=a. لدينا:
BC2 + AC2 = AB2
أو
a2 + b2 = c2
تمكن مبرهنة فيثاغورس من حساب طول أحد أضلاع مثلث قائم الزاوية بمعرفة طولي الضلعين الآخرين. مثلا: إذا كان b=3 و a=4 فإن
a2 + b2 = 32 + 42 = 25 = c2
ومنه c=5.
مثلوث ثلاثة أعداد صحيحة تمثل أطوال أضلاع مثلث قائم الزاوية، مثل (5 ،4 ،3)، يسمى مثلوث فيثاغورس.
مبرهنة فيثاغورس العكسية
نص مبرهنة فيثاغورس العكسية (العبارة 47 من الجزء الأول من كتاب العناصر لإقليدس):
« في مثلث، إذا كان مربع طول أطول ضلع يساوي مجموع مربعي
طولي الضلعين الآخرين، فإن هذا المثلث قائم الزاوية. الزاوية القائمة هي
الزاوية
المقابلة لأطول ضلع، و الضلع الأطول هو
الوتر. »
مبرهنة فيثاغورس هي خاصية مميزة للمثلث القائم الزاوية.
بتعبير آخر:
« في مثلث ABC، إذا كان AC²+BC²=AB² فإن هذا المثلث قائم الزاوية في C. 47+3
تاريخ المبرهنة
عرفت خاصية فيثاغورس في العصور
القديمة، والدلائل على ذلك ما زالت موجودة إلى الآن. يكفي مثلا أن نلاحظ
الحبل ذا ثلاث عشرة عقدة الذي كان
المسّاحون المصريون يستعملونه
والذي نجد له صورا في عدة تصاوير للأعمال الزراعية. يسمح هذا الحبل، علاوة
على قياس المسافات، بإنشاء زوايا قائمة
دون الحاجة إلى الكوس،
إذ تسمح العقد الثلاث عشرة (والمسافات الاثنتي عشرة الفاصلة بين العقد) من
إنشاء مثلث أبعاده (5 ،4 ،3)، مثلث يتضح أنه قائم
الزاوية. ظل هذا
الحبل أداة هندسية طيلة العصور
الوسطى.
أقدم تمثيل لمثلوثات فيثاغورس (مثلث قائم الزاوية وأطوال أضلاعه
أعداد صحيحة طبيعية) نجده في الميغاليثات
(2500 سنة قبل الميلاد). كما أظهرت آثار
البابليين
(لوحة Plimpton، حوالي سنة 1800 قبل الميلاد) أنه قبل ظهور فيثاغورس
بأكثر من 1000 سنة، عرف المهندسون وجود مثلوثات
فيتاغورس.
لكن بين اكتشاف الخاصية «نلاحظ أن بعض المثلثات القائمة الزاوية
تحقق هذه الخاصية»، تعميمها «يبدو أن كل المثلثات القائمة الزاوية تحقق هذه
الخاصية»
وإثباتها «كل المثلثات القائمة الزاوية (فقط) في المستوى
الإقليدي تحقق هذه الخاصية» عدة أجيال.
ندرة الدلائل التاريخية تجعلنا غير قادرين على نسب المبرهنة إلى
فيثاغورس
بشكل قاطع، مع أننا على يقين بأنه صاحبها. أول برهان مكتوب نجده في كتاب
العناصر لإقليدس
بالصيغة التالية:
« في المثلثات القائمة الزاوية، مربع طول الضلع المقابل للزاوية القائمة يساوي مجموع مربعي طولي الضلعين الآخرين. »
مع صيغتها العكسية: « إذا كان مربع طول ضلع في مثلث يساوي
مجموع مربعي طولي الضلعين الآخرين، فإن الزاوية المحصورة بين هذين الضلعين
قائمة. »
و مع ذلك، فتعليقات Proclus على كتاب العناصر لإقليدس (حوالي 400
سنة بعد الميلاد) تشير إلى أن إقليدس لم يقم سوى بإعادة تدوين برهان قديم
نسبه
Proclus إلى فيثاغورس.
إذن، يمكننا أن نؤرخ البرهان على هذه الخاصية ما بين القرن الثالث
والقرن السادس قبل الميلاد. يحكى أنه في تلك الفترة اكتشفت الأعداد
اللاجذرية. بالفعل،
يمكن بسهولة إنشاء مثلث قائم الزاوية و
متساوي الساقين طول أحدهما 1، فيكون مربع طول الوتر هو 2. برهان بسيط أيام فيثاغورس
يثبت أن العدد 2 ليس
مربعا لعدد جذري. يقال أن هذا الإكتشاف تم
إبقاؤه سرا من طرف المدرسة الفيثاغورسية تحت تهديد بالقتل.
إلى جانب هذه الإكتشافات، يبدو أن هذه المبرهنة عرفت في الصين
أيضا. نجد إشارة إلى وجود هذه المبرهنة في واحد من أقدم المؤلفات الصينية في
الرياضيات، كتاب Zhoubi suanjing. هذا المؤلف، كتب على الأغلب في Han
Dynasty (أعظم الفترات في تاريخ الصين)، (206 قبل الميلاد، 220 سنة
بعد الميلاد) يضم التقنيات المستعملة في فترة Zhou Dynasty. (القرن
العاشر قبل الميلاد، 256 قبل الميلاد). نجد برهان هذه الخاصية، التي تحمل في
الصين اسم مبرهنة جوجو Gougu (القاعدة والإرتفاع)، في كتاب Jiuzhang
suanshu (الفصول التسعة في فن الرياضيات، 100 سنة قبل الميلاد، 50 سنة
بعده)، برهان مختلف كليا عن برهان إقليدس.
كما نجد في الهند برهانا عدديا للخاصية يعود إلى القرن الثالث قبل الميلاد (برهان بإستعمال أعداد خاصة، لكن يمكن تعميمه بسهولة).
رغم أنها خاصية هندسية، إلا أنها أخذت منحى حسابيا عند البحث عن
جميع مثلوثات أعداد صحيحة طبيعية تمثل أطوال أضلاع مثلث قائم الزاوية: أي
مثلوثات
فيثاغورس. هذا البحث فتح الباب لبحث آخر: البحث عن المثلوثات التي تحقق
an +
bn = cn، بحث قاد
إلى مظنونة
فيرما التي تم حلها سنة 1994
على يد الرياضي Andrew Wiles.
توجد في الحقيقة العديد من البراهين على هذه الخاصية، مثل برهان
إقليدس،
و برهان الصينيين،
مرورا ببرهان الهنود،
و برهان دافينشي
و حتى برهان
الرئيس الأمريكي James Abram Garfield. كما لا يفوتنا
ذكر الكاشي
الذي عمم هذه المبرهنة على كل المثلثات: مبرهنة
الكاشي.
براهين
بلا شك، هذه المبرهنة لديها أكبر عدد معروف من الإثباتات (كما هو الحال بالنسبة لخاصية Quadratic reciprocity). ها هي بعض منها: برهان إقليدس
قبل البرهنة على خاصية فيثاغورس،
يجب إثبات عبارتين. العبارة الأولى التي يجب إثباتها (العبارة 35 من الجزء
الأول من كتاب العناصر) هي تساوي
مساحتي متوازيي
أضلاع لهما نفس القاعدة و نفس الإرتفاع:
« متوازيات الأضلاع التي لها قاعدة مشتركة، و محصورة بين نفس المستقيمين المتوازيين، لها نفس المساحة. »
لنعتبر متوازيي
الأضلاع ABCD و BCFE، لديهما قاعدة مشتركة [BC]، و محصوران بين
المتوازيين (BC) و (AF)، لاحظ أن AD=BC (لأنهما
قاعدتا متوازي
الأضلاع ABCD)، و BC=EF (لأنهما قاعدتا متوازي الأضلاع BCFE)، و بالتالي
AD=EF.
توجد ثلاثة حالات فقط (مبينة في الشكل جانبه) لموضع النقطة E
بالنسبة إلى D : يمكن أن توجد E على يسار D، منطبقة على D أو على يمين
D. سندرس
كل حالة:
1. إذا كانت E على يسار D فإن [ED] مشتركة بين كل من [AD] و [EF]،
و منه نستطيع التحقق من أن المسافتين AD و EF متساويتين. لاحظ أن
الضلعين [AB] و [DC] متقايسان (لأنهما قاعدتان متقابلتان في متوازي
الأضلاع ABCD)، و النقط D، E، A و F مستقيمية، الزاويتان
و
متقايستان. كنتيجة
لهذا فالمثلثان BAE و CDF متقايسان، لأن لهما ضلعان متقايسان و الزاويتان
المحصورتان متقايستان. إذن، متوازيي
الأضلاع
ABCD و CBEF ليسا سوى ترتيبين مختلفين من شبه
المنحرف BEDC و المثلث BAE (أو CDF).
2. إذا كانت E منطبقة على D، سنجد بطريقة مشابهة أن المثلثين BAE
و CDF متقايسان، و أنه من الممكن الحصول على متوازيي الأضلاع ABCD و
BCFE بإضافة المثلث BAE (أو CDF) إلى المثلث المشترك BCD.
3. إذا كانت E على يمين D، لدينا AD=EF، و بإضافة DE لكل منهما
نجد أن AE=DF. و بطريقة مشابهة لتلك التي إستعملناها في 1 و 2، يمكن أن نبين
أن المثلثين BAE و CDF، و أيضا شبهي المنحرف BADG و CGEF، متقايسان.
إذن من الواضح أنه يمكن الحصول على متوازيي الأضلاع ABCD
و CBEF عن
طريق إضافة المثلث المشترك BCG إلى شبه
المنحرف BADG (أو CGEF).
إستبدال متوازي أضلاع بمتوازي أضلاع آخر له نفس القاعدة و الإرتفاع يعرف في الرياضيات بإسم القص. هذا الأخير مهم جدا في إثبات العبارة التالية:
« إذا كان لمتوازي أضلاع و لمثلث نفس القاعدة، و محصورين بين مستقيمين متوازيين، فإن مساحة متوازي الأضلاع هي ضعف مساحة المثلث. »
لنعتبر متوازي أضلاع ABCD، و لتكن E نقطة من نصف المستقيم (AD] و
لا تنتمي إلى القطعة [AD]. نريد إثبات أن مساحة ABCD هي ضعف
مساحة
BEC. بعد رسم القطر [AC]، نلاحظ أن مساحة ABCD هي ضعف مساحة ABC. و لدينا
مساحة ABC تساوي مساحة BEC (لأن لهم نفس
القاعدة). إذن ضعف مساحة BEC
هي ضعف مساحة ABC، أي ABCD. . و منه مساحة ABCD هي ضعف مساحة BEC المثلث.
نستطيع الآن متابعة البرهان:
نعتبر مثلثا ABC قائم الزاوية في A. لتكن ABFG ،ACIH و BCED
مربعات الأضلاع AB ،AC و BC على التوالي. لتكن J نقطة تقاطع (BC) و
(AK). نريد إثبات أن مساحة BCED تساوي مجموع مساحتي ABFG و ACIH.
يمكننا هذا عن طريق إثبات أن مساحة المربع ABFG تساوي مساحة
المستطيل
BJKD، و أن مساحة المربع ACIH تساوي مساحة المستطيل CEKJ.
لإثبات المتساوية الأولى، يمكن أن نلاحظ أن المسافتين FB و BC
تساويان AB و BD على التوالي. لأن الزاويتان
و
متقايستان، و
الزاويتان
(لاحظ أن
) و
(لاحظ أن
) متقايستان. كنتيجة،
لدينا المثلثان FBC و ABD متقايسان. لاحظ أيضا أنه حسب العبارة XLI،
مساحة المربع ABFG هي ضعف مساحة المثلث FBC و أن مساحة
المستطيل BJKD
هي ضعف مساحة المثلث ABD. بما أن المثلثين ABD و FBC متقايسان، فإن مساحة
ABFG تساوي مساحة BJKD.
نحصل على المتساوية الثانية بطريقة مشابهة: بملاحظة أن IC و CB
يساويان AC و CE على التوالي، و أن الزاوية
تقايس الزاوية
،
نحصل على أن
المثلثين ICB و ACE متقايسان. و علما أن مساحة المربع ACIH هي ضعف مساحة
المثلث ICB و أن مساحة المستطيل CEKJ هي
ضعف مساحة ACE، و بما أن
المثلثين ICB و ACE متقايسان، فإن مساحة ACIH تساوي مساحة CEKJ.
و بالتالي، مساحة BCED تساوي مساحة مجموع مساحتي BJKD و CEKJ، أي مجموع مساحتي ABFG و ACIH.
و تكون مبرهنة فيثاغورس حالة خاصة لمبرهنة كليرو.
برهان جوجو
تمت إعادة صياغة مبرهنة جوجو Gougu إنطلاقا من تعليقات و ملاحظات
الرياضي الصيني Liu Hui (القرن الثالث بعد الميلاد) على كتاب « الفصول
التسعة في فن الرياضيات » (206 قبل الميلاد، 220 بعده) و على
كتاب Zhoubi Suanjian « ظل الدوائر، كتاب في Calculus » (كتاب في
علم الفلك).
هذا البرهان يعتمد على مبدأ لعبة اللغز Puzzle: مساحتان متساويتان بعد تقطيع و تركيب. يذكر أن إقليدس إستعمل نفس المبدأ (القص) تقريبا.
في الشكل جانبه، المثلث القائم الزاوية مرسوم بلون غامق، مربع
أطول ضلع من ضلعي الزاوية القائمة رسم خارج المثلث، بينما نقوم بالعكس
بالنسبة
للضلعين الآخرين.
المثلث الأحمر يقايس المثلث البدئي. طول أطول ضلع من ضلعي الزاوية
القائمة في المثلث الأصفر يساوي طول أصغر ضلع في المثلث البدئي، و زوايا
هذين المثلثين متقايسة. طول أطول ضلع من ضلعي الزاوية القائمة في
المثلث الأزرق يساوي فرق طولي ضلعي الزاوية القائمة للمثلث البدئي و زواياهما
متقايسة أيضا.
بإستعمال الجداء السلمي
ليكن ABC مثلثا قائم الزاوية في A



بما أن ABC قائم الزاوية في A فإن

و منه BC2 = AB2 + AC2
برهان حديث
لنعتبر مثلثا قائم الزاوية حيث قياسات أضلاعه هي b ،a و c. نقوم
بنسخ المثلث ثلاث مرات بحيث يشكل كل ضلع طوله a مستقيما مع ضلع طوله b لمثلث
آخر. نحصل في الأخير على مربع طول ضلعه a+b، كما في الصورة.
لنحسب مساحة المربع المحدد بالأضلاع ذات الطول c. بالطبع المساحة
هي c²، و تساوي أيضا فرق مساحة المربع الكبير ذو الضلع a+b و مجموع
مساحات المثلثات الأربع. مساحة المربع الكبير هي ²(a+b) لأن طول ضلعه
هو a+b. و مجموع مساحات المثلثات هي أربع مرات مساحة مثلث واحد، أي
4(ab/2)، إذن الفرق هو (a+b)²-4(ab/2) بالتبسيط a²+b²+2ab-2ab أي
a²+b². بهذا نكون قد برهنا على أن مساحة المربع ذو الضلع c تساوي a²+b²، أي
a²+b²=c².

توجد طرق عديدة أخرى لإثبات مبرهنة فيثاغورس، حتى الرئيس الأمريكي الواحد و العشرون جيمس جارفيلد James Garfield برهن، بطريقة قريبة من الطريقة السابقة، على مبرهنة فيثاغورس.
أشكال أخرى للمبرهنة
إستلزامها المضاد للعكس
نص الإستلزام المضاد للعكس:
« إذا كانت أطوال أضلاع مثلث ABC تحقق
فإن المثلث ABC ليس
قائما في النقطة A. »
رغم أن الإستلزام
المضاد للعكس يكافئ منطقيا المبرهنة
المباشرة، إلا أن إستعماليهما مختلفان: فمبرهنة فيثاغورس المباشرة تستعمل
لحساب طول ضلع
مثلث قائم الزاوية بدلالة طولي الضلعين الآخرين، في
حين أن إستلزامها المضاد للعكس يستعمل لإثبات كون مثلث (قياسات أضلاعه
معلومة) ليس قائم
الزاوية.
الإستلزام المضاد للعكس للخاصية العكسية
يقول ما يلي: « إذا كان المثلث ABC ليس قائم الزاوية في A
فإن
»
تعميم على أشكال هندسية أخرى غير المربعات
عمم إقليدس مبرهنة فيثاغورس في كتابه العناصر (العبارة 31، الجزء VI من كتاب العناصر):
« في المثلثات القائمة الزاوية، مساحة شكل مرسوم على الوتر، يساوي مجموع مساحتي الشكلين المشابهين له المرسومين على ضلعي الزاوية القائمة. »
بتعبير آخر:
« إذا أنشأنا أشكالا متشابهة على أضلاع مثلث قائم الزاوية، فإن مساحتي الشكلين الصغيرين تساوي مساحة الشكل الكبير. »
هذه الخاصية تسمح لنا بالبرهنة على أن مساحة مثلث تساوي مجموع مساحتي الهلالين المرسومين على ضلعي الزاوية القائمة: مبرهنة الهلالين.
إستعمالاتها
-
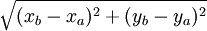
تسمح مبرهنة فيثاغورس بحساب المسافة بين نقطتين في معلم متعامد بدلالة إحداثياتهما الديكارتية، إذا كانت A(xa,ya) و B(xb,yb) نقطتان من المستوى الإقليدي، فإن المسافة بينهما هي:

إذا كانت (xb,ya) إحداثيتا نقطة C في نفس المعلم، فإن المثلث ACB قائم الزاوية في C. المسافتان CA و CB معلومتان:
CA = | xb − xa |
CB = | yb − ya |
بينما تمثل المسافة AB طول وتر المثلث ACB.
-
تعمم مبرهنة فيثاغورس على التبسيطات ذات الأبعاد الكبيرة. إذا كان لرباعي أوجه ركن قائم (ركن من مكعب)، فإن مربع مساحة الوجه المقابل
للركن، يساوي مجموع مربعات مساحات الأوجه الثلاثة الأخرى. تعرف هذه المبرهنة أيضا بإسم مبرهنة Gua.







